Basic Maths and Units and DimensionsHard
Question
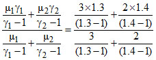
Considering the gases to be ideal, the value of γ =
for a gaseous mixture consisting of 3 moles of carbon dioxide and 2 moles of oxygen will be (γO2 = 1.4, γCO2 = 1.3) :-
Options
A.1.37
B.1.34
C.1.55
D.1.63
Topic: Basic Maths and Units and Dimensions·Practice all Basic Maths and Units and Dimensions questions
More Basic Maths and Units and Dimensions Questions
The radii of two planets are respectively R1 and R2 and their densities are respectively ρ1 and ρ2 The ratio o...Two spherical vessel of equal volume, are connected by a narrow tube. The apparatus contains an ideal gas at one atmosph...If the capacitance of a nanocapacitor is measured in terms of a unit ′u′ made by combining the electronic ch...A ray of light is incident on an equilateral glass prism (μ = √3) and moves parallel to the base of the prism...A nonconducting solid sphere of radius R is charged so that potential on its surface is 40 V, then value of integral . W...