Math miscellaneousHard
Question
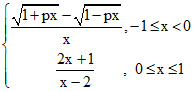
If f(x) =
is continuous in the interval [-1, 1] then p equals
is continuous in the interval [-1, 1] then p equals
Options
A.-1
B.1
C.1/2
D.-1/2
More Math miscellaneous Questions
The two lines x = ay + b, z = cy + d and x = a′y + b′, z = c′y + d′ will be perpendicular, if an...The value of 21/4, 41/8, 81/6 + ..... ∞ is...Coefficient of x79 in the expansion of (x + x2 + x4)20 is equal to -...Number of solutions of the equation ex(ex - 2) = 5|ex - 1| - 7 is -...Let ω be a complex cube root of unity with ω ≠ 1 and P = [pij] be a n × n matrix with pij = ωi...