Rotational MotionHard
Question
For rotational motion, the Newton′s second law of motion is indicated by :-
Options
A.ω22 = ω12 + 2αθ
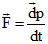
B.
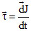
C.
D.
More Rotational Motion Questions
A particle of mass m moves with a constant velocity. Which of thefollowing statements is not correct about its angular m...The instantaneous anglular position of a point on a rotating wheel is given by the equation θ(t) = 2t3 - 6t2. The t...The curve between logeL and logeP is (L is the angular momentum and P is the linear momentum)...A hoop of radius r and mass m rotating with an angular velocity ω0 is placed on a rough horizontal surface. The ini...The axis X and Z in the plane of a disc are mutually perpendicular and Y-axis is perpendicular to the plane of the disc....