Sound WavesHard
Question
A person speaking normally produces a sound intensity of 40 dB at a distance of 1m. If the threshold intensity for reasonable audibility is20 dB, the max. distance at which he can be heard clearly is :-
Options
A.4 m
B.5m
C.10 m
D.20 m
Solution
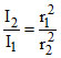
40 = 10 log10
= 104
I0 = 10-12 wm-2
20 = 10 log10
= 102
⇒ r2 = 10 m (∵ r1 = 1m)]
I0 = 10-12 wm-2
20 = 10 log10
Create a free account to view solution
View Solution FreeMore Sound Waves Questions
An air column in a pipe, which is closed at one end, will be in resonance with vibrating tuning fork of frequency 264 Hz...The waves in which the particles of the medium vibrate in a direction perpendicular to the direction of wave motion is k...A tube, closed at one end and containing air, produces, when excited, the fundamental note of frequency 512 Hz. If the t...20. Tow cars moving in opposite directions approach each other with speed of 22 m/s and 16.5 m/s respectively. The drive...A wave represent by the equation y = a cos (kx - ωt) is superimposed with another wave to from a staionary wave suc...