Wave OpticsHard
Question
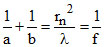
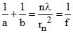
Formula for the focal length of a zone plate is :
Options
A.
B.
C.
D.
More Wave Optics Questions
The path difference between two interfering waves at a point on the screen is λ / 6. The ratio of intensity at this...The phenomenon of interference is shown by :...In a single slit diffraction pattern, if the light source is used of less wave length then previous one. Then width of t...An object is immersed in a fluid. in order that the object becomes invesible, it should :...In Young′s experiment one slit is covered with a blue the other (slit) with a yellow filter. Then the interference...