Hydrogen and its compoundHard
Question
The longest wavelength line in lyman series of hydrogen spectrum is :-
Options
A.1025.8 (Ao)
B.1215.8 (Ao)
C.972.6 (Ao)
D.949.8 (Ao)
Solution
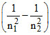
= (1)2 × 109700
λmax =
λmax =
λmax = 1215.8 (Ao)
Create a free account to view solution
View Solution FreeMore Hydrogen and its compound Questions
(CH3)2C = CHCH3 + NOBr → product. The structure of the product is...When hard water is passed through ion-exchange resin with formula RNH3+ OH-. It becomes free form :-...The treatment of benzene of benzene with isobutence in the presence of sulphuric acidgives:...Oxide of an element A is used in the manufacturing fire clay bricks and this A not react with water but its oxides disso...At 25oC, pH of water is 7. If water is heated at 50oC which one of the following is true :-...