Coordination CompoundHard
Question
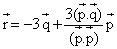
Let ABCD be a parallelogram such that
and ∠ABD be an acute angle. If
is the vector that coincides with the altitude directed from the vertex B to the side AD, then
is given by :
and ∠ABD be an acute angle. If
is the vector that coincides with the altitude directed from the vertex B to the side AD, then
is given by : Options
A.

B.

C.

D.

More Coordination Compound Questions
Co-ordination number of Cr in CrCl3.5H2O is six. The maximum volume of 0.1 N AgNO3 needed to precipitate the chlorine in...The colourless species is :...Which kind of isomerism is shown by the complex [Co(NH3)5(ONO)]SO4 ?1. Ionisation isomerism2. Linkage isomerism3. Geomet...Consider the following statements:According the Werner′s theory.(1) Ligands are connected to the metal ions by ion...The number of possible isomers of an octahedral complex [Co(C2O4)2(NH3)2]- is...



