Coordination CompoundHard
Question
What is the ratio of uncomplexed to complexed Zn2+ ion in a solution that is 10 M in NH3, if the stability constant of [Zn(NH3)4]2+ is 3 × 109 ?
Options
A.3.3 × 10-9
B.3.3 × 10-11
C.3.3 × 10-14
D.3 × 10-13
Solution
Zn2+ + 4NH3 ⇋ [Zn(NH3)4]2+.
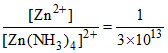
Kf =
⇒
= Kf[NH3]4.
= 3 × 109 × 104 = 3 × 1013.
⇒
= 3.3 × 10-14.
Kf =
= 3 × 109 × 104 = 3 × 1013.
⇒
Create a free account to view solution
View Solution FreeMore Coordination Compound Questions
What is the charge on the complex [Cr(C2O4)2(H2O)2] formed by Cr(III) ?...For the given aqueous reactions, which of the statement(s) is (are) true?...A compound is made by mixing cobalt (III) nitrite and potassium nitrite solutions in the ratio of 1 : 3. The aqueous sol...Which of the following statements is false?...The total crystal field stabilisation energy (CFSE) for the complexes [Co(H2O)6]3+ and [CoF6]3- are respectively : (P is...