CapacitanceHard
Question
A series combination of n1 capacitors, each of value C1 is charge by a source of potential difference 4V. When another parallel combination of n2 capacitors, each of value C2 is charged by a source of potential difference V, it has the same (total) energy stored in it, as the first combination has. The value of C2 in terms of C1 is then
Options
A.

B.

C.

D.

Solution
A series combination of n1 capacitors each of capacitance C1 are connected to 4V source as shown in the figure
Total capacitance of the series combinatopn of the capacitors is
+ ........upto n 1 terms = 
Cs =
.......(i)
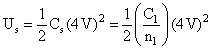
Total energy stored in a series combination of the capcitance is
[Using (i)] ...... (ii)
A parallel combination of n2 capacitors each of capacitance C2 are connected to V source as shown in the figure

Total capacitance of the parallel combinatopn of the capacitors is
Cp + C2 + C2 + C2 ...... upto n1 terms = n2C2
CP = n2C2 .....(iii)
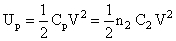
Total energy stored in a parallel combination of the capcitance is
[Using (iii)] ...... (iv)
According to the given problem
Us = UP
Substituting the values of Us and UP from the equation (ii) and (iv), we get

or
n2 C2 or, C2 = 
Total capacitance of the series combinatopn of the capacitors is
+ ........upto n 1 terms = 
Cs =
.......(i)Total energy stored in a series combination of the capcitance is
[Using (i)] ...... (ii)A parallel combination of n2 capacitors each of capacitance C2 are connected to V source as shown in the figure

Total capacitance of the parallel combinatopn of the capacitors is
Cp + C2 + C2 + C2 ...... upto n1 terms = n2C2
CP = n2C2 .....(iii)
Total energy stored in a parallel combination of the capcitance is
[Using (iii)] ...... (iv)According to the given problem
Us = UP
Substituting the values of Us and UP from the equation (ii) and (iv), we get

or
n2 C2 or, C2 = 
Create a free account to view solution
View Solution FreeMore Capacitance Questions
Two electric bulbs whose resistances are in the ratio 1 : 2 are connected in parallel to a constant voltage source the p...A parallel plate capacitor has a dielectric slab in it. The slab just fills the space inside the capacitor. The capacito...For a charged parallel plate capacitor shown in the figure, the force experienced by an alpha particle will be :...If there are n capacitors in parallel connected to V volt source, then the energy stored is equal to...A toster and a light bulb connected in parallel. The toster produces more heat than bulb, then the resistance of toaster...