ElectroMagnetic InductionHard
Question
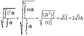
The current in a circuit varies with time as I = 2√t. Then the rms value of the current for the interval t = 2 to t = 4 sec is
Options
A.√3 A
B.2√3 A
C.√3 / 2A
D.(4 - 2√2) A7
More ElectroMagnetic Induction Questions
Radius of a circular ring is changing with time and the coil is placed in uniform magnetic field perpendicular to its pl...During 0·1 sec. current in a coil increases from 1A to 1·5 A. If inductance of this coil is 60 μH, induced current ...A conducting ring of radius 1 meter is placed in an uniform magnetic field B of 0.01 tesla oscillating with frequency 10...When a diamagnetic substances is inserted in a current carrying coil, then magnetic field is :-...L, C and R represent the physical quantities inductance, capacitance and resistance.Which of the following combinations ...