SHMHard
Question
The period of oscillation of a mass M suspended from a spring of negligible mass is T. If along with it another mass M is also suspended, the period of oscillation will now be
Options
A.T
B.

C.2T
D.√2T
Solution
A mass M is suspended from a massless spring of constant k as shown figure (a). Then
Time period of oscillation is T = 2π
.......(i)
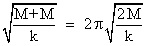
When a another mass M is also suspended with it as shown in figure (b).
Then Time period of oscillation is
T′ = 2π

√2T [using (i)]

Time period of oscillation is T = 2π
.......(i)When a another mass M is also suspended with it as shown in figure (b).
Then Time period of oscillation is
T′ = 2π


√2T [using (i)]

Create a free account to view solution
View Solution FreeMore SHM Questions
The position of a particle at time t moving in x-y plane is given by = (î + 2ĵ) A cos ωt. Then, the motio...A particle performs S.H.M with time period T. The time taken by the particle to move from half amplitude to the maximum ...A smooth inclined plane having angle of inclination 30o with horizontal has a mass 2.5 kg held by a spring which is fixe...The period of oscillation of simple pendulum of length L suspended from the roof of the vehicle which moves without fric...A thin rod of length 1 m is suspended from its end and is made to oscillate in a vertical plane. The distance between th...