ElectroMagnetic InductionHard
Question
Initially key was placed on (1) till the capacitor got fully charged. Key is placed on (2) at t = 0. The time when the energy in both capacitor and inductor will be same-


Options
A.
B.
C.
D.
Solution
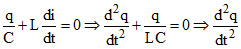
For given situation
+ ω2q = 0 ⇒ q = q0 cos ωt & i = - q0ωsinωt
According to given conditions
Lq02ω2 sin2 ωt
⇒ cot2ωt = 1 ⇒ ωt =
......... ⇒ t =
...
According to given conditions
⇒ cot2ωt = 1 ⇒ ωt =
Create a free account to view solution
View Solution FreeMore ElectroMagnetic Induction Questions
A magent is taken towards a coil : (a) rapidly (b) slowly Then the induced emf is:-...In a cylindrical region uniform magnetic field which is perpendicular to the plane of the figure is increasing with time...A coil of self inductance 50 Henry is joined to the terminals of a battery of emf 2 volts through a resistance of 10 ohm...In a transformer 220A.C. voltage is increased to 2200 volts. If the number of turns in the secondary are 2000, then the ...In the given arrangement, the loop is moved with constant velocity v in a uniform magnetic field B in a restricted regio...