Rotational MotionHard
Question
A cord is wound over a cylinder of radius r and moment of inertia I. A mass m is attached to the free end of the cord. The cylinder is free to rotate about its own horizontal axis. If mass m is released from rest, then the velocity of the mass after it had fallen through a distance h will be -
Options
A.(2gh)1/2
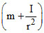
B.
C.
D.
Solution
Translation equation
mg - T = ma
For rotational equation motion

T × r =
∴ mg = a
⇒ 
∴ v =
mg - T = ma
For rotational equation motion

T × r =
∴ mg = a
∴ v =
Create a free account to view solution
View Solution FreeMore Rotational Motion Questions
A nuniform bar of length 6a and mass 8 m lies on a smooth horizontal table. Two points masses m and 2m moving in the sam...Two small balls with masses m and 2 m are attached to both ends of a rigid rod of length d and negligible mass. If angul...A person is standing on the edge of a circular platform, which is moving with constant angular speed about an axis passi...A thin uniform rod $(X)$ of mass M and length L is pivoted at a height $\left( \frac{L}{3} \right)$ as shown in the figu...A disc is rolling on an inclined plane without slipping then what fraction of its total energy will be in form of rotati...