Rotational MotionHard
Question
A uniform thin stick of length and mass m is held horizontally with is end B hinged at a point B on the edge of table. Point A is suddenly released. The acceleration of the centre of mass of the stick at the time of release is : -


Options
A.
g
B.
g
C.
g
D.
g
Solution

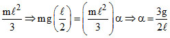
For angular motion of the stick τ = mg = Iα
moment of inertia of stick about B is I =
Acceleration of centre of mass =
Create a free account to view solution
View Solution FreeMore Rotational Motion Questions
The moment of inertia of thin square plate ABCD of uniform thickness about an axis passing through the centre O and perp...Two discs of same moment of inertia rotating about their regular axis passing through centre and perpendicular to the pl...The quantity not involved directly in rotational motion of the body is...A round uniform body of radius R, mass M and moment of inertia ′I′, rolls down (without slipping) an incline...An equilateral trinangle ABC formed from a iniform wire has two small identical beads initially located at A. The triagl...