Magnetic field due to currentHard
Question
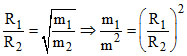
Two particles X and Y having equal charges, after being accelerated through the same potential difference, enter a region of uniform magnetic field and describe paths of radii R1 and R2 respectively. The ratio of the mass of X to that of Y is :
Options
A.(R1/R2)1/2
B.R2/R1
C.(R1/R2)2
D.R1/R2
More Magnetic field due to current Questions
If the intensity of magnetic field at a point on the axis of current coil is half of that at the centre of the coil, the...A conducting coil is bent in the from of equilateral triangle of side 5 cm. Current flowing through it is 0.2 A, The mag...Proton, Deuteron and alpha particle of the samekinetic energy are moving in circulartrajectories in a constant magnetic ...An observer A and a charge Q are fixed in a stationary frame F1. An observer B is fixed in a frame F2, Which is moving w...Two infinitely long linear conductors are arranged perpendicular to each other and are in mutually perpendicular planes ...