GravitationHard
Question
The magnitudes of the gravitational field at distance r1 and r2 from the centre of a uniform, sphere of radius R and M are F1 and F2 respectively. then : -
Options
A.
if r1 < R and r2 < R
B.
if r1 < R and r2 < R
C.
if r1 < R and r2 < R
D.
if r1 < R and r2 < R
Solution
Gravitational field intensity F = 
Inside the sphere
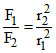
(F1 ∝ r1, F2 ∝ r2)
of r1 < R & r2 < R
Gravitational field intensity
I ∝
(Out side the sphere)
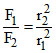
∴
if r1 > R and r2 > R
Inside the sphere
(F1 ∝ r1, F2 ∝ r2)
Gravitational field intensity
I ∝
∴
Create a free account to view solution
View Solution FreeMore Gravitation Questions
A particle of mass M is situated at the centre of a spherical shell of the same mass and radius a. The magnitude of the ...A man of mass m starts falling towards a planet of mass M and radius R. As he reaches near to the surface, he realizes t...A satellite is moving with a constant speed ′V′ in a circular orbit about the earth. An object of mass ̸...Two bodies of masses 1 m and 2 m are initially at rest at infinite distance apart. They are then allowed to move towerds...Imagine a new planet having the same density as that of Earth but it is 3 times bigger than the Earth in size. If the ac...