JEE AdvancedStraight LineHard
Question
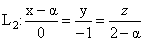
Two lines L1: X = 5,
and
are coplanar. Then can take value(s)
and
are coplanar. Then can take value(s)Options
A.1
B.2
C.3
D.4
Solution


for lines to be coplanar

⇒(5 - α ) ((3 - α) (2- α) - 2) = 0
⇒(5 - α)( α2 - 5α + 4) = 0
⇒ α = 1, 4, 5
Create a free account to view solution
View Solution FreeMore Straight Line Questions
A straight line through the originO meets the parallel lines 4x + 2 y = 9 and 2x + y + 6 = 0 at points P andQ respective...Let P = (-1,0),Q = (0, 0) and R = (3, 3√3) br three points. Then, the equations of the bisector of the angle PQR i...A ray of light along gets reflected upon reaching x-axis, the equation of the reflected ray is :...The length of perpendicular from (2, 1) on line 3x − 4y + 8 = 0 is-...In the equation y − y1 = m(x − x1) if m and x1 are fixed and different lines are drawn for different values ...