Sound WavesHard
Question
Two open pipes of length L are vibrated simultaneously. If length of one of the pipes is reduced by y, then the number of beats heard per second will be if the velocity of sound is v and y < < L : -
Options
A.
B.
C.
D.
Solution
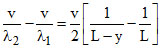
λ1 = 2L ; λ2 = 2 (L - y)
ᐃf = f2 - f1 =
⇒
ᐃf = f2 - f1 =
⇒
Create a free account to view solution
View Solution FreeMore Sound Waves Questions
Two open pipes of length 25 cm and 25.5 cm produced 0.1 beat/second. The velocity of sound will be : -...A string of length 0.4 m and mass 10-2 is tightly clamped at its ends. The tension in the string is 1.6 N. Identical wav...A boat at anchor is rocked by waves whose crests are 100m apart and velocity is 25m/s. The boat bounces up once in every...Which one of the following does not support the wave nature of light ?...The distance between two consecutive crests in a wave train produced in string is 5 m. If two complete waves pass throug...