Sound WavesHard
Question
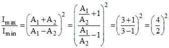
The ratio of intensities of two waves is 9 : 1. When they superimpose, the ratio of maximum to minimum intensity will become : -
Options
A.4 : 1
B.3 : 1
C.2 : 1
D.1 : 1
More Sound Waves Questions
The waves in which the particles of the medium vibrate in a direction perpendicular to the direction of wave motion is k...A string of length L is stretched along the x-axis and is rigidly clamped at its two ends. It undergoes transverse vibra...A copper wire is fixed between two rigid supports. It is stretched with negligible tension at 30oC. The speed of transve...The maximum distance upto which TV transmission from Tv Tower of height h canreceived is proportional to :...A siren emitting sound of frequency 800 Hz is gong away from a static listener with a speed of 30m/s frequency of the so...