JEE Advanced | 2013Introduction to 3DHard
Question
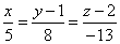
Perpendiculars are drawn from points on the line
the plane x + y + z = 3. The feet of perpendiculars lie on the line
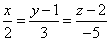
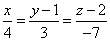
the plane x + y + z = 3. The feet of perpendiculars lie on the lineOptions
A.

B.

C.

D.

Solution


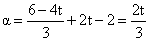
α = k + 2t - 2
β= k - t - 1
γ = k + 3t
α + β + γ = 3






Create a free account to view solution
View Solution FreeMore Introduction to 3D Questions
An equation of a plane parallel to the plane x-2y + 2z - 5 = 0 and at a unit distance fromthe origin is :...The line which contains all points (x, y, z) which are of the form (x, y, z) = (2, -2, 5) + λ (1, -3, 2) intersects...The equation of the plane passing through the point (−1, 3, 2) and perpendicular to each of the planes x + 2y + 3z...Three lines with direction ratios 1, 1, 2 ; √3 − 1, − √3 − 1, 4 ; − √3 −...If co-ordinates of points P, Q, R, S are respectively (1, 2, 3), (4, 5, 7); (−4, 3, −6) and (2, 0, 2) then -...