Current Electricity and Electrical InstrumentHard
Question
A battery of emf E0 = 12 V is connected across a 4m long uniform wire having resistance
. The cells of small emfs e1 = 2V and e2 = 4V having internal resistance 2Ω and 6Ω respectively, are connected as shown in the figure. If galvanometer shows no deflection at the point N, the distance of point N from the point A is equal to


Options
A.
B.
C.25 cm
D.50 cm
Solution
Potential gradient
x =
× 4 = 2Vm-1
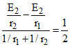
Effective emf of E1 and E2
E =
volt
Balancing length AN =
m = 25 cm
x =
Effective emf of E1 and E2
E =
Balancing length AN =
Create a free account to view solution
View Solution FreeTopic: Current Electricity and Electrical Instrument·Practice all Current Electricity and Electrical Instrument questions
More Current Electricity and Electrical Instrument Questions
An ac source of angular frequency ω is fed across a resistor R and a capacitor C in series. The current registered ...The mass of product liberated on anode in an electrochemical cell depends on (where t is the time period, for which the ...A piece of copper is to be shaped so as to have a minimum resistance. Its length and cross-sectional area should be :-...A piece of copper and another of germanium are cooled from room temperature to 77 K, the resistance of...A battery of emf E and internal resistance r is connected across a resistance R. Resistance R can be adjusted to any val...