Current Electricity and Electrical InstrumentHard
Question
In the circuit shown in figure the heat produced in the 5W resistor due to the current flowing through it is 10cal/s. The heat generated in the 4W resistor is:


Options
A.1 cal/s
B.2 cal/s
C.3 cal/s
D.4 cal/s
Solution
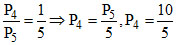
P = I2R ⇒ 10 = i25 ⇒ i2 =
= 2 ⇒ i = √2
i4 =
⇒P4 =
4, P5 = (i2)5
= 2 cal/s
i4 =
Create a free account to view solution
View Solution FreeTopic: Current Electricity and Electrical Instrument·Practice all Current Electricity and Electrical Instrument questions
More Current Electricity and Electrical Instrument Questions
At what temperature will the resistance of a copper wire become three times its value at 0o C [Temperature coefficient o...In the diagram resistance between any two junctions is E. Equivalent resistance across terminals A and V is...In a potentiometer experiment, it is found that no current passes through the galvanometer when the terminals of the c...An ammeter and a voltmeter are joined in series to a cell. Their readings are A and V respectively. If a resistance is n...If 2 bulbs rated 2.5 W − 110 V and 100 W − 110 V are connected in series to a 220 V supply then...