JEE Advanced | 2013Progression (Sequence and Series)Hard
Question
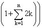
The value of cot
cot-1
is
cot-1
isOptions
A.

B.

C.

D.

Solution
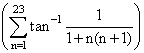
cot
cot-1 
= cot
= cot
= cot
= cot (tan-1 24 - tan-11)
= cot
= cot 
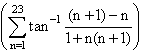
cot-1 
= cot

= cot

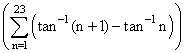
= cot

= cot (tan-1 24 - tan-11)
= cot
= cot 
Create a free account to view solution
View Solution FreeMore Progression (Sequence and Series) Questions
In a college of 300 students every student reads 5 newspapers and every newspaper is read by 60 student. The number of n...The S.D. of 15 items is 6 and if each item is decreased by 1, then standard deviation will be-...The sum of three consecutive terms in a geometric progression is 14. If 1 is added to the first and the second terms and...If x18 = y21 = z28, then 3, 3 logy x, 3 logz y, 7 logx z are in -...If x1, x2, x3 as well as y1, y2, y3 are in GP with the same common ratio, then the points (x1, y1), (x2, y2) and (x3, y3...