ElectrostaticsHard
Question
An electron of mass me, initially at rest, moves through a certain distance in a uniform electric field in time t1. A proton of mass mp, also, initially at rest, takes time t2 to move through an equal distance in this uniform electric field. Neglecting the effect of gravity, the ratio, t2/t1 is nearly equal to:
Options
A.1
B.(mp/me)1/2
C.(me/mp)1/2
D.1836
Solution
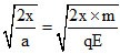
t =
∴ t ∝
∝ √m
[when x, q & E are same]
[when x, q & E are same]
Create a free account to view solution
View Solution FreeMore Electrostatics Questions
Which statement is not correct for a conducting charged sphere -...The electrostatic potential inside a charged spherical ball is given by φ = αρ2 + b where r is the distan...An alpha particles of energy 5 MeV is scattered through 180o by a fixed uranium nucleus. The distance of the closest app...Choose the incorrect statement : -...Point p lies on the axis of a dipole. If the dipole is rotated by 90o anti clock wise, the electric field vector at P wi...