Momentum and CollisionHard
Question
A set of n - identical cubical blocks lies at rest parallel to each other along aline on a smooth horizontal surface. The separation between the near surface of any two adjacent blocks is L. The block at end is given a speed v towards the next one at time t = 0. All collisions are completely inelastic, then
Options
A.The last block starts moving at t = n (n - 1) 
B.The last block starts moving at t = (n - 1) 
C.The centre of mass of the system will have a final speed 
D.The centre of mass of the system will have a final speed v.
Solution
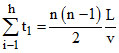
t1 =
(time for Ist collision)
t2 =
(time for IInd collision)
t3 =
(time for IIIrd collision)
t(n-1) =
(time for (nth) collision)

t2 =
t3 =
t(n-1) =
Create a free account to view solution
View Solution FreeMore Momentum and Collision Questions
Two very wide parallel glass plates are held vertically at a small separation, d, and dipped in water. Some water climes...A spherical ball is dropped in a long column of viscous liquid. Which of the following graphs represent the variation of...In a one dimensional collision between two identical two identical A and B, B is stationary and A has momentum p before ...A uniform bar of length 12 cm and mass $20m$ lies on a smooth horizontal table. Two point masses m and $2m$ are moving i...Three particle start from origin at the same time with a velocity 2ms-1 along positive x-axis, the second with a velocit...