JEE Advanced | 2013Definite IntegrationHard
Question
Let
(the set of all real numbers) be a positive, non-constant and differentiable function such that f′(x) < 2f(x) and
Then the value of
lies in the interval
(the set of all real numbers) be a positive, non-constant and differentiable function such that f′(x) < 2f(x) and
Then the value of
lies in the intervalOptions
A.(2e - 1, 2e)
B.(e - 1, 2e - 1)
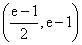
C.

D.

Solution
f′(x) - 2 f(x) < 0
Multiply both side by e-2x
e-2x f′(x) - 2e-2x f(x) < 0
(e-2x f(x)) < 0
Now, g(x) = e-2x f(x)
∴ g(x) is a decreasing function.


⇒ e-2x f(x)<
⇒ f(x) < e2x-1
⇒
⇒
obviously f(x) is positive
∴
Multiply both side by e-2x
e-2x f′(x) - 2e-2x f(x) < 0
(e-2x f(x)) < 0 Now, g(x) = e-2x f(x)
∴ g(x) is a decreasing function.


⇒ e-2x f(x)<

⇒ f(x) < e2x-1
⇒

⇒

obviously f(x) is positive
∴

Create a free account to view solution
View Solution Free