ProbabilityHard
Question
A box has four dice in it. Three of them are fair dice but the fourth one has the number five on all of its faces. A die is chosen at random from the box and is rolled three times and shows up the face five on all the three occasions. The chance that the die chosen was a rigged die, is -
Options
A.
B.
C.
D.none
Solution
Events are defined as
E1 = A rigged die is chosen
E2 = A fair die is chosen
A = die shows 5 in all the three times using Baye′s Theorem :
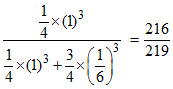
P(E1/A) =
=
E1 = A rigged die is chosen
E2 = A fair die is chosen
A = die shows 5 in all the three times using Baye′s Theorem :
P(E1/A) =
=
Create a free account to view solution
View Solution FreeMore Probability Questions
A six faced die is a biased one. It is thrice more likely to show an odd number than show an even number. It is thrown t...The probability of getting head and tail alternatively in three throws of a coin (or in a throw of three coins) is-...Two aeroplanes I and II bomb a target in succession. The probabilities of I and II scoring a hit correctly are 0.3 and 0...A bag contains two pairs of shoes. Two shoes are drawn from it. The probability that it is a pair is-...5 girls and 10 boys sit at random in a row having 15 chairs numbered as 1 to 15, then the probability that end seats are...