Area under the curveHard
Question
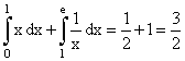
The area of the region enclosed by the curves y = x, x = e, y =
and the positive x-axis is
and the positive x-axis isOptions
A.1 square units
B.
square units
square unitsC.
square units
square unitsD.
square units
square unitsMore Area under the curve Questions
Let ƒ : [0, ∞)→ℝ) be a continuous function such thatƒ(x) =1- 2x + ∫0xex-t ƒ(t)dt ...The area (in square units) of the region bounded by the curves y + 2x2 = 0 and y + 3x2 = 1, is equal to :...Let f(x) = x2 + 6x + 1 and R denote the set of points (x, y) in the coordinate plane such that f(x) + f(y) ≤ 0 and...The area bounded by the lines y = 2 + x and y = 2 − x and x-axis is-...The area bounded by the curves y = f(x), the x-axis and the ordinates x = 1 and x = b is (b + 1) sin (3b + 4). Then, f(x...

