Home
>
Math
>
Binomial Theorem
Binomial Theorem
Hard
Question
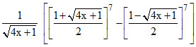
The expression
is a polynomial in x of degree -
Options
A.
7
B.
5
C.
4
D.
3
Solution
-
Create a free account to view solution
View Solution Free
Topic:
Binomial Theorem
·
Practice all Binomial Theorem questions
More Binomial Theorem Questions
Set of values of r for which, 18Cr-2 + 2 . 18Cr-1 + 18Cr ≥ 20C13 contains -...
If a1 , a2, a3, a4 are the coefficients of any four consecutive terms in the expansion of (1 + x)n, then is equal to-...
...
In the expansion of (1 + 3x + 2x2)6 the coefficient of x11 is -...
Find the value...