VectorHard
Question
Consider ᐃABC with A ≡
, B ≡
and
. If
=
= 3;
= 4, then the angle between the medians
and
is -
Options
A.π - cos-1
B.π - cos-1
C.cos-1
D.cos-1
Solution
⇒ angle between
Let B be the origin & A
then M (2ĵ) & D
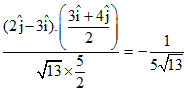
∴ Angle between
cos θ =
cos θ =
Create a free account to view solution
View Solution FreeMore Vector Questions
Four points with position vectors , , , are coplanar if -...If the position vector of points A and B with respect to point P are respectively and then the position vector of middle...If = (x + 1) + (2y − 3) and = 5 − 2 are two vectors such that 2 = 3 , & , are non collinear vectors then-...A parallelogram is constructed on the vectors = 3 − , = + 3. and || = || the angle between and is , then the lengt...The projection of vector î + 2ĵ + 2 on x- axis is -...