VectorHard
Question
Taken on side
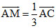
of a triangle ABC, a point M such that
. A point N is taken on the side
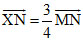
such that
then, for the point of intersection X of
which of the following holds good?
Options
A.
B.
C.
D.
More Vector Questions
If and are unit coplanar vectors, then the scalar ipla product is equal to...The vector(s) which is/are coplanar with vectors and perpendicular to the vector is/are...Four points with position vectors , , , are coplanar if -...If vectors î + ĵ + 3 and −3î + 2ĵ + represent adjacent sides of a parallelogram, then its area...If D,E and F are midpoints of sides BC, CA and AB of a triangle ABC, then + + is equal to-...