VectorHard
Question
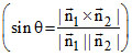
The sine of angle formed by the lateral face ADC and plane of the base ABC of the tetra hedron ABCD where A ≡ (3, -2, 1) ; B ≡ (3, 1, 5); C≡ (4, 0, 3) and D ≡ (1, 0, 0) is -
Options
A.
B.

C.
D.
More Vector Questions
[ ] will not be zero when-...Let and be three vectors. A vector in the plane of and whose projection on is magnitude is -...If vectors 3î + 2ĵ + 8 and 2î + xĵ + are perpendicular then x is equal to -...The vectors 3î − 2ĵ , î − 3ĵ + 5 and 2î + ĵ − 4 form-...If = , = , = where , , are non- coplanar vectors, then ( + + ).( + + ) equals-...
