Introduction to 3DHard
Question
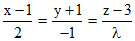
The lines
and
are -
Options
A.coplanar for all λ
B.coplanar for λ = 19/3
C.if coplanar then intersect at 
D.intersect at 
More Introduction to 3D Questions
If the direction ratios of a line are 1, −3, 2, then the direction cosines of the line are -...A line passes through the points (6, − 7, − 1) and (2, − 3, 1). The direction cosines of the line so d...The angle between the line and the plane ax + by + cz + 6 = 0 is -...The distance of the plane x + 2y − z = 2 from the point (2, −1, 3) measured in the direction with d.r.′...The co-ordinates of points A, B, C, D are (a, 2, 1), (1, −1, 1), (2, −3, 4) and (a + 1, a + 2, a + 3) respec...