Introduction to 3DHard
Question
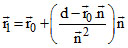
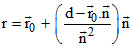
The expression in the vector form for the point
of intersection of the plane
= d and the perpendicular line
where t is a parameter given by -
Options
A.
B.
C.
D.
Solution
from (1) and (2)
substitute the value of ′t′ in (2)
Create a free account to view solution
View Solution FreeMore Introduction to 3D Questions
An equation of the plane passing through the origin and containing the lines whose direction cosines are proportional to...The co-ordinates of the foot of the perpendicular drawn from the origin to a plane is (2, 4, −3). The equation of ...The point where the line meets the plane 2x + 4y − z = 1, is -...Direction ratios of the line represented by the equation x = ay + b, z = cy + d are -...Equation of the plane containing the lines. = î + 2ĵ − + λ(î + 2ĵ) and = î + 2ĵ...