Nuclear Physics and RadioactivityHard
Question
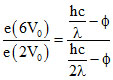
When a certain metallic surface is illumined with monochromatic light λ, the stopping for potential for photo electric current is 6V0. when same surface is illuminated with light of wavelength 2λ, the stopping potential is 2λ0. The threshold wavelength of this surface for photoelectric
Options
A.6λ
B.4λ / 3
C.4λ
D.8λ
More Nuclear Physics and Radioactivity Questions
The electron in a hydrogen atom makes a transition n1 → n2 where n1 and n2 are the principle quantum. numbers of t...In an atom, two electrons move around the nuclei in circular orbits of radii R and 4R The. Ratio of the time taken by th...There are two radio nuclei A and B. A is an alpha emitter and B is a beta emitter. Their disintegration constants are in...A nucleus A decays into B with half life T1 and B decays into C with half life T2. Graph is drawn between number of atom...The photon radiated from hydrogen corresponding to 2nd line of Lyman series is absorbed by a hydrogen like atom ′X...