HyperbolaHard
Question
The locus of the mid points of the chords passing through a fixed point (α, β) of the hyperbola,
= 1 is -
Options
A.a circle with centre 
B.an ellipse with centre 
C.a hyperbola with centre 
D.straight line through 
Solution
Let mid-point of chord is (h, k).
Equation of chord is T = 0 ⇒
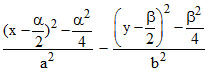
Locus is
⇒
= 0
⇒
= 0
⇒
Equation of chord is T = 0 ⇒
Locus is
⇒
⇒
⇒
Create a free account to view solution
View Solution FreeMore Hyperbola Questions
The equations to the common tangents to the two hyperbolas = 1 and = 1 are-...The vertices of a hyperbola are at (0, 0) and (10, 0) and one of its foci is at (18, 0) The possible equation of the hyp...The eccentricity of the hyperbola whose latus rectum is 8 and conjugate axis is equal to half the distance between the f...The equation = 1, |r|...If 2x - y + 1 = 0 is a tangent to the hyperbola x2a2-y216=1, then which of the following CANNOT be sides of a right angl...