DeterminantHard

Question

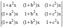
If a2 + b2 + c2 = - 2 and f(x) = , then f(x) is a polynomial of degree-

Options

A.2
B.3
C.0
D.1

Solution

On applying C1 → C1 + C2 + C3
we get  x = f(f)
Now solve it.

Create a free account to view solution

View Solution Free
Topic: Determinant·Practice all Determinant questions

More Determinant Questions