Indefinite IntegrationHard

Question

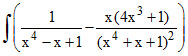
Primitive of w.r.t. x is -

Options

A.+ c
B.- + c
C.+ c
D.- + c

Solution

dx = - dx
= + c
(∫[f (x) + xf ′(x)]dx = xf (x) + C)

Create a free account to view solution

View Solution Free
Topic: Indefinite Integration·Practice all Indefinite Integration questions

More Indefinite Integration Questions