Definite IntegrationHard
Question
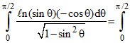
The value of definite integral
dz
Options
A.-
ln2
B.
ln2
C.- π ln 2
D.π ln 
Solution
I =
dz
put e-z = sin θ
I = -
ln sin θdθ
=
ln2
put e-z = sin θ
I = -
=
Create a free account to view solution
View Solution Free