Home
>
Math
>
Definite Integration
Definite Integration
Hard
Question
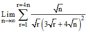
The value of
is equal to -
Options
A.
1/35
B.
1/14
C.
1/10
D.
1/5
Solution
-
Create a free account to view solution
View Solution Free
Topic:
Definite Integration
·
Practice all Definite Integration questions
More Definite Integration Questions
sin4 2 x dxequals...
Let f(x) = , then f(x)fdx =...
The area contained between the curve xy = a2, the vertical line x = a, x = 4a (a > 0) and x-axis is...
If In =tann xdx then n (In + In-2) =...
The value of the integralis...