Geometrical OpticsHard
Question
A ray of light passes through a prism in a principle plane the deviation being equal to of incidence which which is equal to 2α. It is given that α is the angle of prism and μ is the refractive index of the material of prism, then
Options
A.cos α = 
B.cos α = 
C.sin α = 
D.sin α = 
Solution
2α = (2α + e) - α
e = α, r1 + r2 = α
sin 2 α = μ sin r1,
μ sin (α - r1) = sin α
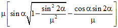
m (sin α.cos r1 - cos α sin r) = sin α
= sin α
sin α
- cos α sin 2 α = sin α
- 2 con2α = 1
μ2 = sin2 2α = 1 + 4 cos4 α + 4 cos2 α
μ2 = 1 + 4 cos4α + 4 cos2 α + 4 sin2 α cos2 α
μ2 = 1 + 4 cos2 α (sin2 α + cos2 α)
cos α =
e = α, r1 + r2 = α
sin 2 α = μ sin r1,
μ sin (α - r1) = sin α
m (sin α.cos r1 - cos α sin r) = sin α
sin α
μ2 = sin2 2α = 1 + 4 cos4 α + 4 cos2 α
μ2 = 1 + 4 cos4α + 4 cos2 α + 4 sin2 α cos2 α
μ2 = 1 + 4 cos2 α (sin2 α + cos2 α)
cos α =
Create a free account to view solution
View Solution FreeMore Geometrical Optics Questions
A plane mirror is moving with velocity 4î + 5ĵ + 8 . The point object in front of the mirror moves with a velo...Yallow light is used in a sinle slit diffraction experiment with slit width of 0.6 mm. If yellow light is replaced by X-...The angle of a glass prism is 4.5o and its refractive index is 1.52. The angle of minimum deviation will be -...Lenses applied in achromatic combination having dispersive power in ratio of 5:3 if focal length of concave lens is 15cm...White light is passed through a prism of angle 5o If the refractive indices for red and blue colour are 1.641 and 1.659 ...