CircleHard
Question
The distance between the chords of contact of tangents to the circle x2 + y2 + 2gx + 2fy + c = 0 from the origin and from the point (g, f) is -
Options
A.
B.
C.
D.
Solution

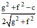
Equation of AB : gx + fy + c = 0 ........(i)
Equation of CD : gx+ fy + g(x + g) + f(y + f) + c =
gx + fy +
Distance between AB & CD will be
Create a free account to view solution
View Solution FreeMore Circle Questions
Centre of a circle is (2, 3). If the line x + y = 1 touches it. Find the equation of circle-...The circle x2 + y2 = 4x + 8y + 5 intersects the line 3x - 4y = m at two distinct points if...Find the co-ordinates of a point p on line x + y = _ 13, nearest to the circle x2 + y2 + 4x + 6y _ 5 = 0...Consider the hyperbola H : x2 − y2 = 1 and a circle S with center N(x2, 0). Suppose that H and S touch each other ...If y = c is a tangent to the circle x2 + y2 − 2x + 2y −2 = 0 at (1, 1), then the value of c is-...