Area under the curveHard
Question
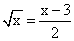
The area (in square units) bounded by the curves y = √x, 2y - x + 3 = 0, x-axis and lying in the first quadrant is :
Options
A.9
B.36
C.18
D.

Solution

intersection point

⇒ x - 2√x - 3 = 0
√x = 3, - 1 ⇒ x = 9
Required Area
- area of ᐃ ABC
= 18 - 9 = 9
Create a free account to view solution
View Solution FreeMore Area under the curve Questions
Let f(x) = x2 + 6x + 1 and R denote the set of points (x, y) in the coordinate plane such that f(x) + f(y) ≤ 0 and...Ratio in which curve |y| + x = 0 divides the area bounded by curve y = (x + 2)2 and coordinate axes, is -...The area between the curves y = 6 − x − x2 and x-axis is -...The area bounded by the lines y = 2 + x and y = 2 − x and x-axis is-...The area of the triangle formed by the axes and a tangent to xy = a2 at (x1, yy,) on it is...