Home
>
Math
>
Continuity and Differentiability
Continuity and Differentiability
Hard
Question
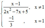
If f (x) =
, then f′(1) equals -
Options
A.
2/9
B.
-2/9
C.
0
D.
does not exist
Solution
f(x) =
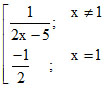
f′(x) =
⇒ f′(1) =
Create a free account to view solution
View Solution Free
Topic:
Continuity and Differentiability
·
Practice all Continuity and Differentiability questions
More Continuity and Differentiability Questions
The function f(x) = sin-1 (cos x) is :-...
If f(a) = 2, f′(a) = 1, g(a) = -1, g′(a) = 2, then the value of is...
The function f(x) = [x] cos [.] denotes the greatest integer function, is discontinu ous at...
If x + y = 0, then equals -...
The value of...