Continuity and DifferentiabilityHard
Question
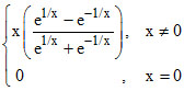
If f (x) =
then at x = 0, f(x) is -
Options
A.differentiable
B.not differentiable
C.f′(0+) = -1
D.f′(0-) = 1
Solution
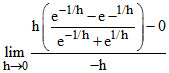
f′(0) = .
= - 1
f′(0+) =
= 1
since f′(0-) ≠ f′(0+)
so f(x) is not differentiable .
f′(0+) =
since f′(0-) ≠ f′(0+)
so f(x) is not differentiable .
Create a free account to view solution
View Solution FreeMore Continuity and Differentiability Questions
The number of points where f(x) = [sin x + cos x] (where [ ] denotes the greatest integer function), x ∈ (0, 2`...Function whose jump (non-negative difference of LHL & RHL) of discontinuity is greater that or equal to one, is/are -...Which of the following could be the sketch graph of y = (x lnx) ?...If x2 + y2 = 1, then...If f(x) = 3 (2x + 3)2/3 + 2x + 3 then -...