Continuity and DifferentiabilityHard
Question
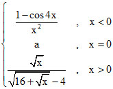
If f(x) =
, then correct statement is -
Options
A.f(x) is discontinuous at x = 0 for any value of a
B.f(x) is continuous at x = 0 when a = 8
C.f(x) is continuous at x = 0 when a = 0
D.none of these
Solution
so f(x) is continuous at x = 0 when a = 8
Create a free account to view solution
View Solution FreeMore Continuity and Differentiability Questions
The slope(s) of common tangent(s) to the curves y = e-x & y = e-x sin x can be -...Function f (x) = is differentiable in the set -...If f(x + y) = f(x) f(y) ∀ x, y and f (5) = 2, f′(0) = 3 ; then f′(5) is equal to -...If f(a) = a2, φ (a) = b2 and f′(a) = 3φ′(a) then is -...Which one of the following functions is continuous everywhere in its domain but has at least one point where it is not d...