Inverse Trigonometric FunctionHard
Question
Which of the following, satisfy the equation 2 cos-1x = cot-1 
Options
A.(-1, 0)
B.(0, 1)
C.
D.[-1, 1]
Solution
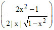
2. cos-1x = cot-1
Let cos-1x = θ
2θ = cot-1
Case I : If cosθ > 0, x > 0 ⇒ 0 < x < 1 then
2θ = cot-1cot2θ = 2θ (identity)
Case II : cosθ < 0, which not satisfy the equation
Let cos-1x = θ
2θ = cot-1
Case I : If cosθ > 0, x > 0 ⇒ 0 < x < 1 then
2θ = cot-1cot2θ = 2θ (identity)
Case II : cosθ < 0, which not satisfy the equation
Create a free account to view solution
View Solution Free