Application of DerivativeHard
Question
The slope of the tangent to the curve xy + ax - by = 0 at the point (1, 1) is 2, then values of a and b are respectively-
Options
A.1, 2
B.2, 1
C.3, 5
D.None of these
Solution
eq of curve xy + ax - by = 0
slope of tangent at (1, 1) is
x.
+ y + a - b .
= 0

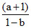
∴ -
= 2
So, 2b - a = 3 ..... (1)
∵ (1, 1) lies on curve xy + ax - by = 0
∴ a - b = -1 ..... (2)
from (1) & (2)
a = 1, b = 2
slope of tangent at (1, 1) is
x.
∴ -
So, 2b - a = 3 ..... (1)
∵ (1, 1) lies on curve xy + ax - by = 0
∴ a - b = -1 ..... (2)
from (1) & (2)
a = 1, b = 2
Create a free account to view solution
View Solution FreeMore Application of Derivative Questions
The volume of metal in a hollow sphere is constant. If the inner radius is increasing at the rate of 1 cm/sec, then the ...The length of subnormal at any point to the parabola y2 = 4ax is-...Equation of a tangent to the curve y cot x = y3 tan x at the point where the abscissa is π/4 is -...a, b, c are three distinct real numbers, which are in G.P. and a + b + c = xb, then -...The sum of the intercepts made by a tangent to the curve √x + √y = 4 at point (4, 4) on coordinate axes is-...