Application of DerivativeHard
Question
The surface area of a spherical bubble is increasing at the rate of 2 cm2/s. When the radius of the bubble is 6 cm, then the rate by which the volume of the bubble increasing is-
Options
A.6 cm3/sec
B.9 cm3/sec
C.3 cm3/sec
D.12 cm3/sec
Solution
A = 4πr2
⇒
= 8 π r 
⇒ 2 = 8 . π . 6 .
[∵
= 2cm2/sec & r = 6 cm]
⇒
cm/sec
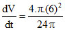
Now V =
π r3
⇒
⇒ 4 . π r2 
⇒
⇒
= 6 cm3/sec.
⇒
⇒ 2 = 8 . π . 6 .
[∵
⇒
Now V =
⇒
⇒
⇒
Create a free account to view solution
View Solution FreeMore Application of Derivative Questions
On the ellipse 4x2 + 9y2 = 1, the point at which the tangents are parallel to the line 8x = 9y, are...Let f(x) and g(x) be differentiable for 0 ≤ x ≤ 1, such that f(0) = 2, g(0) = 0, f (1) = 6. Let there exist ...The co-ordinates of point(s) on the graph of the function, f(x) =+ 7x - 4 where the tangent drawn cut off intercepts fro...If f(x), for every nu8mber x, then the minimum value of f...The equation of the normal to the curve x = at2, y = 2at at ′t′ point is-...