Continuity and DifferentiabilityHard
Question
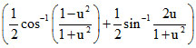
If y = tan
and x =
, then 
Options
A.-1
B.0
C.1
D.None of these
More Continuity and Differentiability Questions
Let ′f′ be a continuous function on R. If f (1/4n) = (sin en)e-n2 + then f(0) is -...Consider the following statements in S and R: S : Both sin x and cos x are decreasing function in the interval ((π ...The function f (x) = 1 + |sin x| is...Let f(x) = |x - a| φ(x), where φ is a continuous function and φ(a) ≠ 0. Then -...If g is the inverse of and f′(x) = then g′(x) is equal to -...